Bức thư điện tử mới mâu thuẫn với lời khai của ông Garland về cuộc điều tra ông Hunter Biden
Chủ tịch Hạ viện Kevin McCarthy (Cộng Hòa-California) đã nêu ra ý kiến về việc có thể mở một cuộc điều tra đàn hặc Bộ trưởng Tư pháp Hoa Kỳ Merrick Garland khi một bức thư điện tử mới mâu thuẫn với lời khai của ông Garland về cuộc điều tra ông Hunter Biden.
Biện lý Liên bang David Weiss gần đây đã đưa ra một số cáo buộc về thuế đối với ông Hunter Biden, con trai của Tổng thống Joe Biden, dẫn đến việc ông Biden con phải nhận tội.
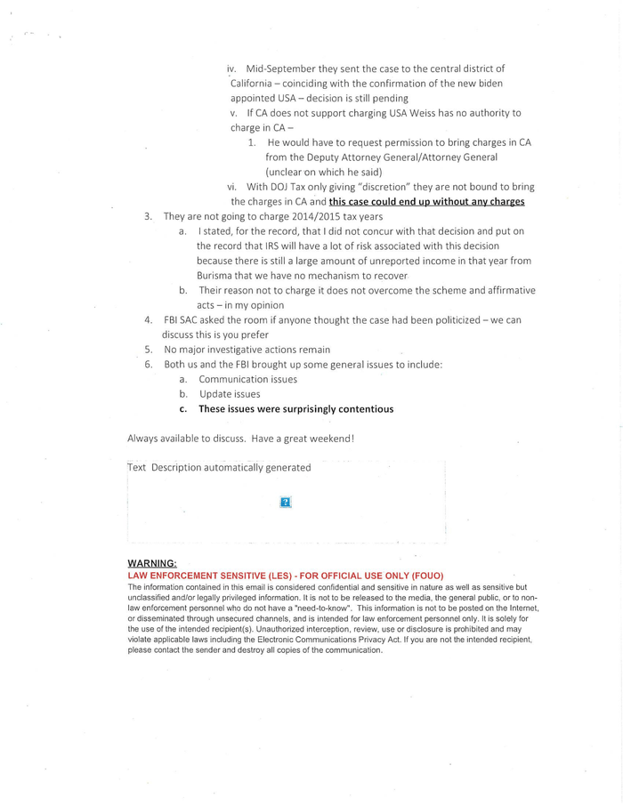
Tuy nhiên, ông Gary Shapley, người tố cáo của IRS, trong lời khai trước Quốc hội đã cáo buộc rằng ông Weiss từng nói với các quan chức hàng đầu trong một cuộc họp hồi năm 2022 rằng ông không phải là người quyết định liệu có đệ đơn buộc tội hay không và những yêu cầu đưa ra các cáo buộc ở Hoa Thịnh Đốn và California đã bị từ chối.
Những lời cáo buộc này [của ông Shapley] đã được công bố hôm 22/06.
Ông Garland, người đã bổ nhiệm ông Weiss, sau đó nói với các phóng viên rằng những lời cáo buộc đó là không đúng sự thật.
Theo ông Garland, ông Weiss “được phép … đưa ra quyết định truy tố theo bất kỳ cách nào mà ông ấy muốn và ở bất kỳ khu vực nào mà ông ấy muốn.”
Ông Garland nói: “Ông ấy được trao toàn quyền để tự đưa ra mọi quyết định.”
Nhưng một bức thư điện tử cho thấy lời khai của ông Shapley đã được chứng thực bởi quan chức IRS Darrell Waldon. Ông Waldon, người cũng tham gia cuộc họp năm 2022, trong bức thư điện tử này đã trả lời một bản tóm tắt cuộc họp của ông Shapley.
Ông Shapley viết rằng ông Weiss nói rằng ông không phải là người có thẩm quyền cuối cùng trong các quyết định buộc tội, ông Weiss nói rằng yêu cầu của ông về việc đưa ra các cáo buộc ở Hoa Thịnh Đốn đã bị từ chối, và ông Weiss nói rằng yêu cầu được bổ nhiệm làm biện lý đặc biệt của ông đã bị ban lãnh đạo Bộ Tư pháp từ chối.
“Ông đã biết tất cả,” ông Waldon viết.
Ông nói rằng ông sẽ chuyển vụ việc lên tổng thanh tra Bộ Ngân khố phụ trách quản lý thuế.
Hồi tháng Tư, ông Garland nói với Quốc hội rằng ông Weiss phụ trách cuộc điều tra ông Hunter Biden và rằng “sẽ không có sự can thiệp dưới bất kỳ hình thức mang tính chính trị hoặc không phù hợp nào.”
Gần đây, ông Garland cũng cho biết thêm rằng ông Weiss chưa bao giờ yêu cầu ông bổ nhiệm ông ấy làm biện lý đặc biệt.
IRS đã từ chối khi được yêu cầu cho phép ông Waldon bình luận.
Bộ Tư pháp (DOJ) đã không phúc đáp một câu hỏi.
“Hoặc là ông Merrick Garland không được thông báo và không biết những người dưới quyền của ông ấy đang làm gì hoặc là ông ấy biết điều đó và nói dối Quốc hội về điều đó,” ông Hans von Spakovsky, một thành viên pháp lý cao cấp tại Trung tâm Nghiên cứu Pháp luật và Tư pháp Edwin Meese III của Quỹ Di sản, nói với The Epoch Times.


Ông McCarthy cho biết những điểm khác biệt trong những lời khai nói trên có nghĩa là ông Weiss “phải cung cấp câu trả lời” cho Quốc hội. Ông Garland nói rằng ông ủng hộ ông Weiss ra làm chứng về cuộc điều tra này.
Hôm 26/06, ông McCarthy nói trên “Fox & Friends” rằng: “Nếu những gì người tố cáo của IRS nói là sự thật, thì chúng tôi sẽ bắt đầu các cuộc điều tra đàn hặc đối với tổng chưởng lý.”
Ông Spakovsky cho biết nếu như ông Garland nói dối Quốc hội, thì đó sẽ là cơ sở tiềm tàng để đàn hặc.
Nội dung bức thư điện tử kể trên cũng mâu thuẫn với lời khai của ông Weiss. Ông này gần đây đã nói với Ủy ban Tư pháp Hạ viện rằng ông được trao cho “thẩm quyền tối đa trong vấn đề này, bao gồm cả trách nhiệm quyết định địa điểm, thời điểm, và liệu có nên nộp đơn buộc tội hay không.”
Ông Jason Foster của tổ chức Empower Oversight, một trong những luật sư đại diện cho ông Gary Shapley, nói rằng: “Ông Gary đã nói sự thật, điều đó có thể kiểm chứng được, và không ai đưa ra được một chút bằng chứng nào mâu thuẫn với bất kỳ điều gì ông ấy nói.”
Ông Foster và những người còn lại trong nhóm pháp lý của ông Shapley cho biết việc “đối chiếu bằng chứng” với những tuyên bố của ông Weiss và ông Garland còn tùy thuộc vào ông Weiss và DOJ.
Ông Weiss, người được cựu Tổng thống Donald Trump bổ nhiệm, là biện lý liên bang phụ trách Quận Delaware.
Phát ngôn viên của văn phòng biện lý quận đó đã từ chối bình luận.
Hôm 20/06, ông Weiss đã buộc tội ông Hunter Biden hai khinh tội về thuế và một trọng tội về súng. Con trai của tổng thống dự định nhận tội trước các cáo buộc về thuế và được phép bắt đầu thủ tục chuyển hướng đối với cáo buộc trọng tội có thể dẫn đến việc cáo buộc đó bị bác bỏ.
Cuộc điều tra kéo dài 5 năm
Theo ông Shapley, cuộc điều tra về ông Hunter Biden đã bắt đầu vào tháng 11/2018.
Nhân viên IRS này nói rằng ông đã đứng ra “để làm sáng tỏ hành vi mà tôi tin là không phù hợp và nằm ngoài chuẩn tắc mà tôi đã biết trong suốt 14 năm kinh nghiệm với tư cách là nhân viên điều tra tội phạm của IRS.”
“Bây giờ ủy ban đã thực hiện bước công bố bản chép lại của tôi, tôi tin rằng các thành viên Đảng Cộng Hòa và Đảng Dân Chủ tại Hạ viện và Thượng viện nên cùng nhau kiểm tra những dữ kiện thực tế này bằng cách phỏng vấn các nhân chứng khác và xem xét các tài liệu để hiểu đầy đủ những gì đã xảy ra trong suốt cuộc điều tra kéo dài 5 năm này,” ông nói.
Ủy ban Tài chính và Thuế vụ của Hạ viện đã công bố những bản chép lại các cuộc phỏng vấn với ông Shapley và một người tố cáo khác của IRS sau một cuộc bỏ phiếu với tỷ lệ 25 phiếu thuận và 18 phiếu chống.
Tất cả các thành viên Đảng Cộng Hòa trong hội đồng này đã bỏ phiếu công bố bản chép lại. Tất cả các thành viên Đảng Dân Chủ trong hội đồng đã bỏ phiếu phản đối việc công bố.
Dân biểu Darin LaHood (Cộng Hòa-Illinois), một cựu công tố viên, cho biết bản chép lại cho thấy “một mức độ phạm tội” và việc ông Hunter Biden nhận được thỏa thuận nhận tội trước khi các điều tra viên xem xét tất cả các bằng chứng này là “rất bất thường.”
Trong tháng này, ông Weiss nói với tòa án liên bang ở Delaware rằng ông Hunter Biden đã dự định nhận tội về hai vi phạm luật cấm cố ý trốn thuế. Theo các tài liệu buộc tội, ông Hunter Biden đã kiếm được hơn 3 triệu USD trong năm 2017 và năm 2018 và không trả hơn 200,000 USD tiền nợ thuế trong những năm đó.
Mỗi tội tiểu hình dẫn đến hình phạt tới một năm tù.
Chính phủ cũng đang cho phép ông Hunter Biden bắt đầu một thỏa thuận chuyển hướng trước khi xét xử đối với tội danh thứ ba, sở hữu súng bất hợp pháp trong khi nghiện một chất bị kiểm soát. Một người bị kết án về tội danh này có thể nhận tới 10 năm tù.
Ông Christopher Clark, luật sư đại diện cho ông Hunter Biden, đã từ chối bình luận.
Cẩm An biên dịch
Quý vị tham khảo bản gốc từ The Epoch Times
Mới nhất
Tiêu điểm
Bình luận
Email





